心理与认知科学学院预计于2026年3月21日(周六,应用心理学方向)和3月22日(周日,临床与健康心理学方向)线下面试的方式进行复试。
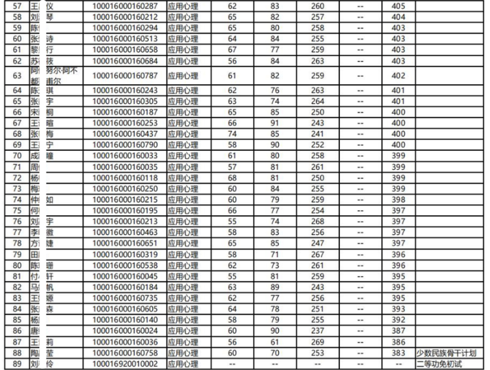
1、按照北京大学2026年硕士研究生招生复试基本分数线及差额复试比例要求,初试各科目成绩和总成绩均达到报考专业方向复试分数线的考生(不含专项计划考生)具有复试资格,心理与认知科学学院2026年硕士研究生复试名单见附件一。
| 专业名称 | 专业方向 | 科目1成绩 | 科目2成绩 | 科目3成绩 | 科目4成绩 | 总成绩 |
| 应用心理 | 应用心理学方向 | 55 | 55 | 180 | -- | 385 |
| 应用心理 | 临床与健康心理学方向 | 55 | 55 | 180 | -- | 395 |
2. 按照教育部《2026年全国硕士研究生招生工作管理规定》和学校相关规定,我院对服役期间获得三等战功、二等功以上奖励或者二级以上表彰,申请免初试攻读应用心理专业硕士研究生的申请材料进行了审核。2026年度有1位申请人经过专家组审核后获得免初试资格,进入复试考核范围。按照教育部和学校相关文件规定,考核合格者即可予以拟录取。
3. 近期密切关注心理与认知科学学院官网即将公布的复试细则及复试通知。
4. 按北京大学研究生招生网(https://admission.pku.edu.cn/)公布的《北京大学2026年研究生招生复试与录取工作有关规定》缴费并准备相应材料,材料的具体提交方式将在复试通知及实施细则中公布。
5. 将“心理与认知科学学院2026年硕士研究生复试通知及实施细则”附件中的《诚信复试承诺书》和《知情同意承诺书》下载、打印、亲笔签字后扫描或拍照,在2026年3月18日17点前发送至gxlbgs1@pku.edu.cn,文件及邮件题目命名为:姓名+参加/放弃复试。
咨询邮箱:gxlbgs1@pku.edu.cn
附件一:2026年硕士研究生复试名单


以上是关于【2026年北大心理与认知科学学院硕士研究生复试名单】的内容,希望能帮助准备考研清北的同学们节约时间,提高上岸的成功率。
需要说的是,考清北竞争大,压力大,没方法,难以坚持。盛世清北-清北考研集训营,为清北考研学子量身打造,有清北先行营、清北强基营、清北暑期突破营、清北实战营、清北冲刺营,更有清北清北半年营和清北全年营可选择,清北学长领学,班主任全程督学,补盲区强技巧,专项技能拔高,学员遍布清华北大各主干院系,专攻清北。
更多清北考研备考资料及清北考研集训营相关问题,咨询盛世清北老师。













电话咨询
微信咨询
在线咨询