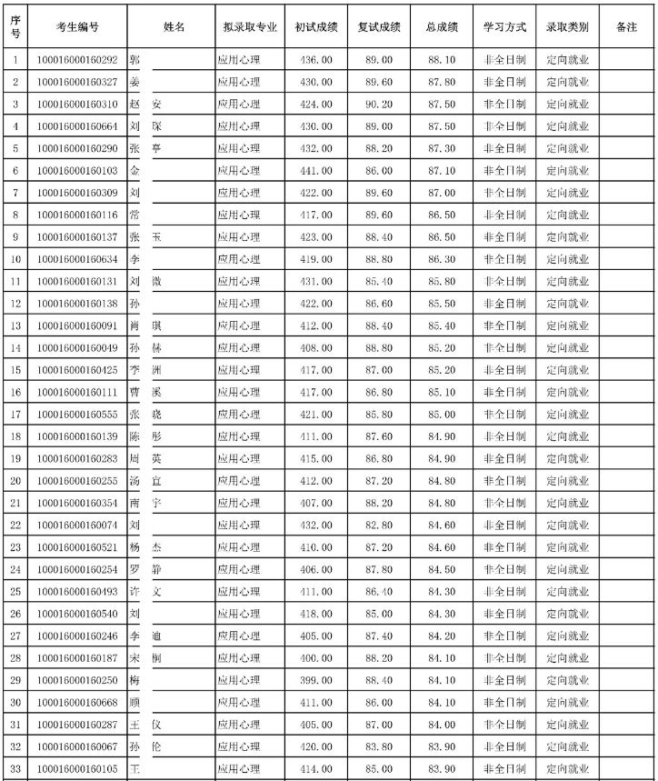
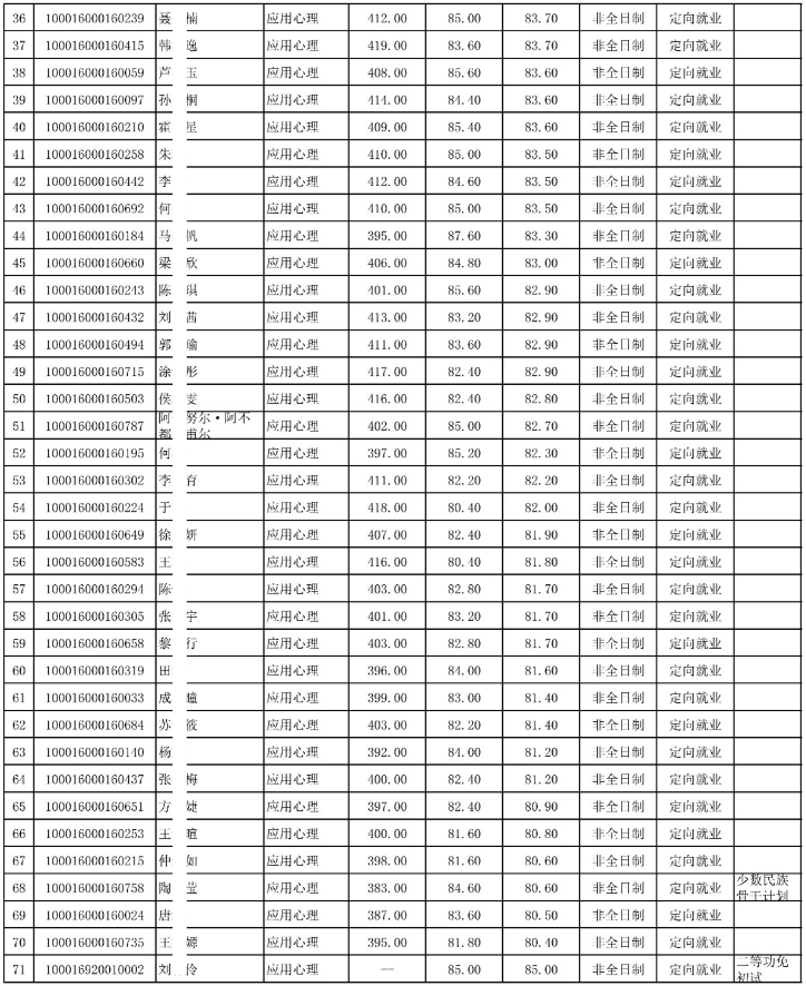
经北京大学研究生院审核,现公布我院2026年硕士研究生拟录取名单(大陆生源、港澳台生源、留学生生源),拟录取名单自2026年3月31日起公示7日,如有异议或疑问请在公示期内提出。邮箱:gxlbgs1@pku.edu.cn。




2026年硕士研究生复试成绩可登录以下网址查询(https://e52lo021.yichafen.com/qz/172wB6hXbt)。
以上是关于【2026年北大心理与认知科学学院硕士研究生拟录取名单公示(大陆生源、港澳台生源、留学生生源)】的内容,希望能帮助准备考研清北的同学们节约时间,提高上岸的成功率。
需要说的是,考清北竞争大,压力大,没方法,难以坚持。盛世清北-清北考研集训营,为清北考研学子量身打造,有清北先行营、清北强基营、清北暑期突破营、清北实战营、清北冲刺营,更有清北清北半年营和清北全年营可选择,清北学长领学,班主任全程督学,补盲区强技巧,专项技能拔高,学员遍布清华北大各主干院系,专攻清北。
更多清北考研备考资料及清北考研集训营相关问题,咨询盛世清北老师。













电话咨询
微信咨询
在线咨询