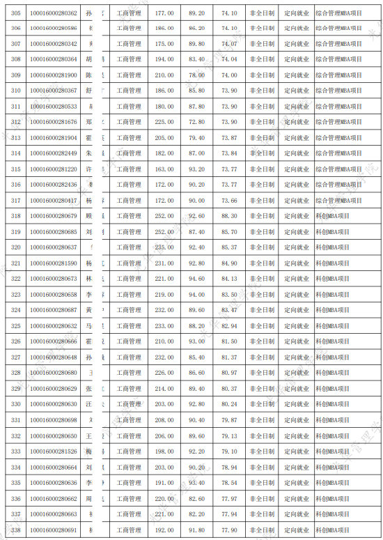
2026年北京大学光华管理学院工商管理硕士(MBA)拟录取名单自即日(2026年4月2日)起公示7日。如有异议,请在公示期内提出。
联系邮箱:mbaadmi@gsm.pku.edu.cn;
公示名单:















以上是关于【2026年北大光华管理学院工商管理硕士招生拟录取公示】的内容,希望能帮助准备考研清北的同学们节约时间,提高上岸的成功率。
需要说的是,考清北竞争大,压力大,没方法,难以坚持。盛世清北-清北考研集训营,为清北考研学子量身打造,有清北先行营、清北强基营、清北暑期突破营、清北实战营、清北冲刺营,更有清北清北半年营和清北全年营可选择,清北学长领学,班主任全程督学,补盲区强技巧,专项技能拔高,学员遍布清华北大各主干院系,专攻清北。
更多清北考研备考资料及清北考研集训营相关问题,咨询盛世清北老师。













电话咨询
微信咨询
在线咨询