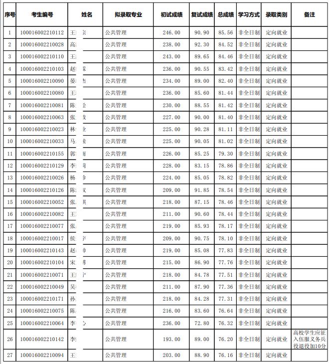
2026年公共管理硕士(国家治理)专业全国统考拟录取名单自即日起公示7日,如有异议,请在公示期内提出。
邮箱:gxsdjxbgs@pku.edu.cn。

以上是关于【2026年北大习近平新时代中国特色社会主义思想研究院硕士招生拟录取公示名单】的内容,希望能帮助准备考研清北的同学们节约时间,提高上岸的成功率。
需要说的是,考清北竞争大,压力大,没方法,难以坚持。盛世清北-清北考研集训营,为清北考研学子量身打造,有清北先行营、清北强基营、清北暑期突破营、清北实战营、清北冲刺营,更有清北清北半年营和清北全年营可选择,清北学长领学,班主任全程督学,补盲区强技巧,专项技能拔高,学员遍布清华北大各主干院系,专攻清北。
更多清北考研备考资料及清北考研集训营相关问题,咨询盛世清北老师。













电话咨询
微信咨询
在线咨询