2022年北京大学计算机学院硕士招生拟录取名单

时间:2022-04-14 访问量:2203 来源:管理员

盛世清北,专注清华北大考研辅导近10年,盛世清北开设清华北大各专业考研辅导系列课程。上清华北大,就上盛世清北!

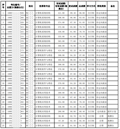
2022年北京大学计算机学院硕士(含港澳台)招生拟录取名单现在开始公示。

公示时间:10个工作日。

公示期间如有异议请联系:010-62757487,gcsyjsjw@pku.edu.cn

本文来自北京大学官网,如有侵权,联系删除!

当前位置: 首页> 北大考研-复试录取> 内容

推荐课程
清北强基营 清北暑期突破营 清北实战冲刺营
清北半年营 清北全年营 清北英才计划
热门课程
推荐阅读